Введен в действие
Постановлением
Госстандарта СССР
от 30 января 1986
г. N 250
ГОСУДАРСТВЕННЫЙ СТАНДАРТ СОЮЗА ССР
КАБЕЛИ ОПТИЧЕСКИЕ
МЕТОДЫ ИЗМЕРЕНИЯ ПАРАМЕТРОВ
Optical cables. Methods of
measurements
ГОСТ 26814-86
Группа Е49
ОКСТУ 3509
Постановлением
Государственного комитета СССР по стандартам от 30 января 1986 г. N 250 срок действия
установлен с 01.01.1987 до 01.01.1992.
Настоящий стандарт
распространяется на оптические кабели, выполненные на основе многомодовых оптических волокон, и устанавливает методы
измерения:
затухания;
распределения
оптических потерь по длине методом обратного рассеяния;
апертурных
характеристик;
передаточных
характеристик;
переходного
затухания;
приращения
затухания при воздействии внешних факторов;
распределения
интенсивности излучения в ближней зоне.
Стандарт
соответствует Публикации МЭК 793-1.
1.
ИЗМЕРЕНИЕ ЗАТУХАНИЯ
1.1. Измерение
затухания оптических кабелей проводят методами обрыва и вносимых потерь.
Допускается для
измерения затухания использовать метод измерения распределения потерь по длине
(метод обратного рассеяния).
Затухание измеряют
на фиксированной длине волны или во всей спектральной полосе пропускания
кабеля, что должно быть указано в стандартах или технических условиях на
конкретный оптический кабель.
1.2. Метод обрыва
1.2.1. Метод обрыва
основан на сравнении значения мощности оптического излучения, измеренного на
выходе длинного отрезка кабеля, со значением мощности, измеренным на выходе его
короткого участка, образованного за счет обрыва кабеля в начало измеряемого
образца. При измерении необходимо обеспечить постоянство мощности, вводимой в
оптическое волокно измеряемого кабеля, и неизменность модового
состава излучения.
Метод применяют для
измерения затухания оптических кабелей, не армированных оптическими
соединителями.
1.2.2. Отбор образцов
1.2.2.1. Для
измерения затухания отбирают отрезки кабеля с известной длиной, прошедшие
испытание на оптическую целостность методом обратного рассеивания. Минимальная
длина кабеля должна быть указана в стандартах или технических условиях на
конкретный оптический кабель. Минимальный диаметр барабана или бухты должен
быть указан в стандартах или технических условиях на конкретный оптический
кабель.
1.2.2.2.
Торцевые поверхности оптических волокон измеряемого кабеля должны быть
перпендикулярны оси волокон и не иметь сколов и повреждений, препятствующих
прохождению оптического излучения.
Перпендикулярность
торцевых поверхностей к оси волокна и отсутствие на них скола определяют с
помощью микроскопа с кратностью увеличения не менее 20.
1.2.3. Аппаратура
1.2.3.1. Измерение
затухания оптических кабелей проводят на установке, схема которой указана на черт. 1, если применяют источник
излучения, имеющий фиксированную длину волны излучения (светодиод или лазер),
или на установке, схема которой указана на черт. 2, если применяют источник
излучения с широкой спектральной полосой (лампа накаливания с монохроматором).

1 - источник
излучения; 2 - устройство ввода;
3 - смеситель мод;
4 - фильтр мод оболочки;
5 - оптический
кабель; 6 - приемник излучения;
7 - регистрирующее
устройство
Черт. 1

1 - источник
излучения (лампа накаливания);
2 - монохроматор; 3
- устройство ввода;
4 - смеситель мод;
5 - фильтр мод оболочки;
6 - оптический
кабель; 7 - приемник излучения;
8 - регистрирующее
устройство
Черт. 2
Положение и
интенсивность источника излучения должны быть стабильны в течение всего времени
проведения измерений. Длина волны и спектральная ширина источника излучения
должны соответствовать требованиям, указанным в стандартах или технических
условиях на измеряемый оптический кабель.
1.2.3.2. Устройство
ввода излучения в измеряемое оптическое волокно кабеля должно обеспечивать
юстировку входного конца волокна в трех взаимно перпендикулярных плоскостях для
осуществления оптимального ввода энергии в волокно и жесткую фиксацию волокна.
1.2.3.3. Смеситель
мод должен обеспечивать возбуждение измеряемого волокна оптического кабеля с модовым составом, соответствующим установившемуся модовому распределению, для данного типа волокна. Для
контроля установившегося модового распределения
должен быть использован метод измерения числовой апертуры. Критерием
установившегося модового распределения является
идентичность распределения излучения в дальней зоне на выходе модового смесителя и измеряемого волокна.
1.2.3.4. Фильтр мод
оболочки должен обеспечивать вывод мод, распространяющихся по оболочке волокна
измеряемого оптического кабеля. Для контроля вывода мод оболочки должен быть
использован метод измерения интенсивности излучения в ближней зоне. Критерием
вывода мод оболочки является отсутствие излучения в оболочке волокна после
фильтра мод оболочки.
1.2.3.5. Приемник
излучения должен иметь фоточувствительную площадку, достаточную для регистрации
всего конуса излучения, выходящего из оптического волокна. Приемник должен быть
чувствительным к излучению во всем спектральном диапазоне, используемом в
измерениях. Чувствительность приемника должна быть однородна по всей его площади,
а преобразовательная характеристика - линейной или известной.
1.2.3.6.
Регистрирующее устройство должно обеспечивать регистрацию сигнала во всем
диапазоне сигналов, поступающих с приемника излучения. Если применяют модуляцию
оптического излучения, то система обработки сигнала, поступающего от приемника
излучения, должна быть согласована с характеристиками модулятора (например,
синхронизована с частотой модуляции сигнала источника излучения).
Характеристика регистрирующего устройства должна быть линейной или известной.
1.2.4.
Подготовка к измерениям
1.2.4.1. Перед
измерениями оптический кабель выдерживают в нормальных климатических условиях
по ГОСТ 20.57.408-81 не менее 3 ч.
1.2.4.2. Подготовку
образцов к измерениям проводят в следующей последовательности:
оба конца
измеряемого кабеля освобождают от защитных покрытий: один входной - на
расстоянии не менее 1 м, второй - на расстоянии не менее 0,5 м;
концы
каждого волокна измеряемого кабеля освобождают на длине 10 - 50 мм от первичной
и вторичной защитных оболочек;
торцевые
поверхности оптических волокон на обоих концах кабеля обрабатывают так, чтобы
они были ровными и перпендикулярными оси волокна и не имели сколов.
1.2.4.3. На расстоянии
(0,5 +/- 0,2) м от входного торца измеряемого волокна оптического кабеля
последовательно устанавливают смеситель мод и фильтр мод оболочки.
1.2.4.4. Измеряемое
волокно оптического кабеля устанавливают входным торцом в устройство ввода,
выходным - вблизи фоточувствительной площадки приемника излучения так, чтобы
все излучение с выходного торца попадало на площадку.
1.2.5. Проведение
измерений
1.2.5.1. Измерения
проводят в нормальных климатических условиях по ГОСТ 20.57.408-81.
В
помещениях, предназначенных для измерений, не должно быть источников магнитных,
электрических полей и интенсивного оптического или инфракрасного излучений,
оказывающих воздействие на средства измерений.
1.2.5.2.
Относительная погрешность результата измерений не должна превышать 20%, если в
стандартах или технических условиях на конкретный кабель не указана другая
погрешность измерений.
1.2.5.3.
Измерения проводят на установке, схема которой указана на
черт. 1 (или на черт. 2).
С помощью
устройства ввода проводят юстировку входного торца измеряемого волокна по
максимуму сигнала на выходе приемника излучения. Фиксируют положение входного
торца и регистрируют значение сигнала на выходе приемника излучения. При
проведении измерения спектрального распределения затухания изменяют длину волны
вводимого в оптическое волокно излучения в заданном спектральном диапазоне; при
этом регистрируют значение сигнала на выходе волокна во всем спектральном
диапазоне.
1.2.5.4. Не изменяя
положения волокна в устройстве ввода, от выходного конца измеряемого волокна
обламывают отрезок длиной 0,5 - 3 см. Обрабатывают торец измеряемого волокна в
соответствии с требованиями, указанными в п. 1.2.2.2. Подготовленный выходной
торец вновь устанавливают вблизи фоточувствительной площадки так, чтобы все
излучение попадало на площадку приемника.
1.2.5.5.
Измерения по п. 1.2.5.3 повторяют не менее 3 раз. Конкретное число измерений
определяют в соответствии с требованиями к случайной
составляющей погрешности измерений в соответствии с ГОСТ 8.207-76.
1.2.5.6. Не
изменяя положения волокна в устройстве ввода, обламывают измеряемое оптическое
волокно кабеля после фильтра мод оболочки на расстоянии (1 +/- 0,2) м от
входного торца. Подготавливают выходной торец короткого отрезка оптического волокна
в соответствии с требованиями, указанными в п. 1.2.2.2. Выходной торец
короткого отрезка волокна устанавливают относительно фоточувствительной
площадки приемника излучения так, чтобы на нее попадало все излучение с
выходного торца. Регистрируют значение сигнала на выходе приемника излучения на
фиксированной длине волны источника излучения или в спектральном диапазоне.
1.2.5.7. Не изменяя
положения волокна в устройстве ввода, от выходного торца обламывают отрезок
длиной 0,5 - 3 см, подготавливают выходной торец к измерению в соответствии с
требованиями, установленными в п. 1.2.2.2. Подготовленный выходной торец вновь
устанавливают относительно площадки приемника излучения так, чтобы на нее
попадало все излучение с выходного торца измеряемого волокна.
Измерения по п.
1.2.5.6 повторяют не менее 3 раз в соответствии с требованиями, установленными
в п. 1.2.5.5.
1.2.6. Обработка
результатов
1.2.6.1. Обработку
результатов измерений проводят в соответствии с ГОСТ 8.207-76, ГОСТ 8.011-72.
1.2.6.2. Затухание
измеряемого оптического кабеля определяют по формуле
,
где
- затухание оптического кабеля, дБ;
,
- значение сигналов, соответствующих уровням
мощности на входе и выходе оптического кабеля;
- длина
волны, на которой проведены измерения, мкм.
Коэффициент
затухания измеряемого оптического кабеля на фиксированной длине волны
определяют по формуле
,
где
- коэффициент затухания оптического кабеля;
- длина
короткого отрезка кабеля, км;
- длина
оптического кабеля, км.
1.2.6.3. Результаты
измерений должны быть оформлены протоколом, в котором указывают:
результаты
измерения затухания и коэффициента затухания;
длину волны и
спектральную ширину источника излучения;
марку и длину
оптического кабеля;
тип, заводские
номера и дату поверки (аттестации) использованного оборудования;
погрешность
результата измерений, при выбранной доверительной вероятности.
1.3. Метод вносимых
потерь
1.3.1. Метод
основан на последовательном измерении мощности оптического излучения
на выходе измеряемого волокна оптического кабеля и на выходе вспомогательного
волокна, армированного оптическим соединителем.
Метод применяют для
измерения затухания оптических кабелей, оптические волокна которых армированы
оптическими соединителями.
1.3.2. Отбор
образцов
1.3.2.1. Отбор
образцов проводят в соответствии с требованиями, указанными в методе обрыва.
Оптические волокна кабеля, подготовленного для измерений, должны быть
армированы оптическими соединителями.
1.3.3. Аппаратура
1.3.3.1. Измерения
затухания оптического кабеля проводят на установке, схема которой указана на черт. 3.

1 - источник
излучения; 2 - устройство ввода;
3 - смеситель мод;
4 - вспомогательное оптическое волокно;
5 - оптические
разъемные соединители; 6 - измеряемый кабель;
7 - приемник
излучения; 8 - регистрирующее устройство
Черт. 3
1.3.3.2. Требования
к источнику излучения, устройству ввода, смесителю мод, приемнику излучения и
регистрирующему устройству должны соответствовать требованиям, указанным в
методе обрыва.
1.3.3.3. Оптические
соединители, которыми армированы волокна измеряемого кабеля и вспомогательное
оптическое волокно, должны иметь известный уровень потерь при соединении,
указанный в стандартах или технических условиях.
1.3.4. Подготовка к
измерениям
1.3.4.1. Перед
измерениями оптический кабель выдерживают в нормальных климатических условиях
по ГОСТ 20.57.408-81 не менее 3 ч.
1.3.4.2. Протирают
торцы всех сочленяемых соединителей спиртом.
Один конец
измеряемого волокна оптического кабеля, заделанного в соединитель, сочленяют с
соединителем на выходе вспомогательного волокна, второй - с соединителем,
установленным на приемнике излучения.
1.3.5. Проведение
измерений
1.3.5.1. Условия,
при которых проводят измерения, должны соответствовать указанным
в методе обрыва.
1.3.5.2.
Относительная погрешность результата измерений не должна превышать 20%, если в
стандартах или технических условиях на конкретный оптический кабель не указана
другая погрешность измерений.
1.3.5.3. Измерения
проводят на установке, схема которой указана на черт.
3.
С помощью
устройства 8 регистрируют значение уровня мощности на фиксированной длине волны
(при измерении спектральной зависимости затухания изменяют длину волны
вводимого в волокно оптического излучения в заданном спектральном диапазоне,
при этом регистрируют значение уровня мощности на выходе измеряемого волокна оптического
кабеля во всем спектральном диапазоне). Измерения повторяют в соответствии с
требованиями п. 1.2.5.5.
1.3.5.4. Вынимают
измеряемое волокно оптического кабеля. Сочленяют соединитель вспомогательного
волокна с соединителем приемника излучения и регистрируют значение уровня
мощности на выходе вспомогательного волокна. Измерения повторяют в соответствии
с требованиями п. 1.2.5.5.
1.3.6. Обработка
результатов
1.3.6.1. Обработку
результатов измерений проводят в соответствии с ГОСТ 8.207-76 и ГОСТ 8011-72.
1.3.6.2. Затухание
измеряемого оптического кабеля определяют по формуле
,
где
- затухание оптического кабеля, дБ;
,
- значения сигналов, соответствующие уровню
мощности на выходе вспомогательного и измеряемого оптического кабеля;
-
среднее значение потерь в оптическом соединителе, дБ;
- длина
волны, на которой проведены измерения, мкм.
Коэффициент
затухания измеряемого оптического кабеля определяют по формуле
,
где
- коэффициент затухания оптического кабеля,
дБ/км;
- длина
оптического кабеля, км.
1.3.6.3. Результаты
измерений должны быть оформлены протоколом, в котором указывают:
результаты
измерения затухания и коэффициента затухания;
длину волны и
спектральную ширину источника излучения;
среднее значение
потерь в соединителе;
марку и длину
оптического кабеля;
тип, заводские
номера и дату поверки (аттестации) использованного оборудования;
погрешность
результата измерения при выбранной доверительной вероятности.
2.
ИЗМЕРЕНИЕ РАСПРЕДЕЛЕНИЯ ОПТИЧЕСКИХ ПОТЕРЬ
ПО ДЛИНЕ
ОПТИЧЕСКОГО КАБЕЛЯ МЕТОДОМ ОБРАТНОГО РАССЕЯНИЯ
2.1. Метод основан
на регистрации обратнорассеянного излучения в
оптическом волокне измеряемого кабеля при прохождении через него оптического
импульса и измерении зависимости от времени интенсивности (мощности) этого
излучения.
Метод пригоден для
определения распределения оптических потерь по длине кабеля, затухания кабеля,
распределенных и локальных неоднородностей типа обрыва, мест сварки и
расстояния до неоднородностей, измерения значения потерь на неоднородностях, а
также длины волокна, целостности волокна и расстояния до мест обрыва.
2.2. Отбор образцов
2.2.1. Отбор
образцов проводят в соответствии с требованиями, указанными в методе измерения
затухания.
2.3. Аппаратура
2.3.1. Измерение
распределения оптических потерь по длине проводят на установке, схема которой
указана на черт. 4.

1 - источник
излучения; 2 - генератор электрических
импульсов; 3 -
направленный ответвитель; 4 - устройство
ввода; 5 -
измеряемый кабель; 6 - приемник излучения;
7 - устройство
обработки сигнала; 8 - регистрирующая система
Черт. 4
2.3.2. В качестве
источника излучения применяют лазер, генерирующий стабильные по мощности, длине
волны, длительности и частоте повторения импульсы оптического излучения.
Мощность оптического излучения должна быть достаточна для проведения измерений,
но не приводить к возникновению нелинейных эффектов в волокне измеряемого
оптического кабеля.
2.3.3. Направленный
ответвитель должен обеспечивать эффективную передачу
мощности оптического излучения в оптическое волокно измеряемого кабеля и обратнорассеянной мощности к приемнику излучения.
Направленный ответвитель должен иметь апертуру,
соответствующую апертуре волокна измеряемого кабеля.
2.3.4. Требования к
устройству ввода должны соответствовать указанным в
методе измерения затухания.
2.3.5. Приемник
излучения должен иметь быстродействие, соответствующее длительности импульса
источника излучения, остальные требования к приемнику излучения должны
соответствовать указанным в методе измерения
затухания.
2.3.6. Устройство
обработки сигнала должно обеспечивать увеличение соотношения сигнал/шум на
выходе приемника излучения, достаточное для регистрации обратнорассеянного
сигнала.
2.3.7.
Регистрирующая система должна иметь характеристики, согласованные с устройством
обработки сигнала.
2.4. Подготовка к
измерениям
2.4.1. Перед
измерениями оптический кабель выдерживают в нормальных климатических условиях
по ГОСТ 20.57.408-81 не менее 3 ч.
2.4.2. Подготовку
образцов к измерениям проводят в следующей последовательности:
оба конца
измеряемого оптического кабеля освобождают от защитных покрытий на расстоянии
не менее 30 см, затем на расстоянии 10 - 50 мм освобождают оптическое волокно
от защитных покрытий;
обрабатывают
торцевые поверхности каждого измеряемого волокна на обоих концах кабеля так,
чтобы они имели ровный и перпендикулярный оси волокна скол;
устанавливают один
конец измеряемого волокна кабеля в устройство ввода.
2.4.3. С помощью
устройства ввода проводят юстировку входного торца волокна по максимуму обратнорассеянного сигнала.
2.5. Проведение
измерений
2.5.1. Условия
проведения измерений должны соответствовать указанным
в методе измерения затухания.
2.5.2.
Относительная погрешность измерений не должна превышать 10%, если в стандартах
или технических условиях на конкретный оптический кабель не указана другая
погрешность измерений.
2.5.3. Измерения
проводят на установке, схема которой указана на черт.
4.
2.5.4. Манипулируя усилением регистрируемого сигнала обратного рассеяния и
временем развертки регистрирующей системы снимают зависимость обратнорассеянного излучения от времени, или, что
одно и то же, от расстояния от начала волокна измеряемого кабеля. Обобщенный
вид кривой обратнорассеянного излучения указан на черт. 5.

Черт. 5
Проводят калибровку
осей зависимости обратнорассеянного излучения.
2.5.5. Помещают
выходной торец измеряемого волокна в имерсионную
жидкость (например в воду) и вновь снимают зависимость
обратнорассеянного излучения.
2.6. Обработка
результатов
2.6.1. Обработку
результатов измерений проводят в соответствии с ГОСТ 8.207-76, ГОСТ 8.011-72.
2.6.2. Затухание на
участке волокна, не имеющем локальных неоднородностей, между характерными
точками на черт. 5 определяют по формулам:
;
,
где
,
- затухание на участках AB и CD, дБ;
,
- значение мощности обратнорассеянного
излучения в точках A и B, дБ;
,
- значение мощности обратнорассеянного
излучения в точках C и D, дБ;
1/2 - коэффициент,
учитывающий прохождение сигнала в прямом и обратном направлении по волокну.
2.6.3. Затухание на
стыках и крупных неоднородностях (участки BC и EF черт. 5) проводят по
формулам:
;
,
где
,
- затухание на участках BC и EF, дБ;
,
- значение мощности обратнорассеянного
излучения в начале участков BC и EF, дБ;
,
- значение мощности обратнорассеянного
излучения в конце участков BC и EF, дБ.
2.6.4. Затухание на
всей длине кабеля определяют по формуле
,
где A - затухание
кабеля, дБ;
,
- значение мощности обратнорассеянного
сигнала в начале и конце кабеля, соответственно, дБ.
2.6.5. По кривой
обратного рассеяния, изображенной на черт. 5, определяют расстояние до характерных точек A - F.
2.6.6. О
целостности волокна измеряемого кабеля судят по количеству характерных точек
типа H на кривой обратного рассеяния, причем, если точек типа H более одной,
волокно имеет обрывы, если характерная точка типа H одна, о наличии обрыва
судят из следующего соотношения
,
если обрыв
отсутствует, выполняется соотношение
,
где
- сигнал обратного рассеяния в точке H при
измерении без иммерсионной жидкости на выходном торце волокна;
-
сигнал обратного рассеяния в точке H при измерении с иммерсионной жидкостью на
выходном конце волокна.
2.6.7. Результаты
измерений должны быть оформлены протоколом, в котором указывают:
кривую обратного
рассеяния;
значения затухания
характерных участков и всего кабеля;
расстояния до мест
обрыва и других характерных точек;
длину волны и
спектральную ширину источника излучения;
тип, заводские
номера и дату поверки (аттестации) использованного оборудования;
погрешность
результата измерений при выбранной доверительной вероятности.
3.
ИЗМЕРЕНИЕ АПЕРТУРНЫХ ХАРАКТЕРИСТИК
3.1. Апертурные характеристики
излучения на выходе волокна измеряемого оптического кабеля определяют путем
исследования распределения интенсивности выходного излучения в дальней зоне.
При этом различают
две характеристики - числовую апертуру и эффективную числовую апертуру.
Конкретная
измеряемая характеристика должна быть указана в стандартах или технических
условиях на оптический кабель.
3.2. Метод
измерения числовой апертуры
3.2.1. Метод
основан на определении зависимости интенсивности излучения в дальней зоне (в
элементе телесного угла) от угла между оптическими осями волокна измеряемого
оптического кабеля и приемника излучения в плоскости, проходящей через эти оси.
3.2.2. Отбор
образцов
3.2.2.1. Отбор
образцов проводят в соответствии с требованиями, указанными в методе измерения
затухания.
3.2.3. Аппаратура
3.2.3.1. Измерения
числовой апертуры проводят на установке, схема которой указана на черт. 6, если в качестве
приемника излучения применяют точечный приемник излучения, и на установке,
схема которой указана на черт. 7, если в качестве приемника излучения применяют
телевизионную камеру.

1 - источник
излучения; 2 - устройство ввода;
3 - измеряемый
кабель; 4 - фильтр мод оболочки;
5 - устройство
крепления; 6 - приемник излучения;
7 - устройство
перемещения; 8 - регистрирующее устройство
Черт. 6

1 - источник
излучения; 2 - устройство ввода;
3 - измеряемый
кабель; 4 - фильтр мод оболочки;
5 - устройство
крепления; 6 - телевизионная камера;
7 - регистрирующая
телевизионная система
Черт. 7
3.2.3.2. В качестве
источника излучения применяют некогерентный источник - лампу накаливания или
светодиод, если в стандартах или технических условиях на конкретный оптический
кабель не указан когерентный источник - лазер.
3.2.3.3. Требования
к устройству ввода и фильтру мод оболочки должны соответствовать указанным в методе измерения затухания.
Фильтр мод оболочки
используют на выходе волокна измеряемого кабеля, если это указано в стандартах
или технических условиях на конкретный оптический кабель.
3.2.3.4. Устройство
крепления должно обеспечивать фиксацию выходного конца оптического волокна и
его юстировку относительно приемника излучения. При этом расстояние от
выходного торца волокна до приемника излучения должно быть много больше
сердцевины волокна измеряемого оптического кабеля.
3.2.3.5. В качестве
приемника излучения в установке, схема которой указана на
черт. 6, применяют приемник излучения с точечной
диафрагмой; в установке, схема которой указана на черт. 7, применяют передающую
телевизионную камеру.
Для измерения
углового распределения интенсивности излучения на установке, схема которой
указана на черт. 6, приемник
излучения (или устройство крепления) должен быть выполнен вращающимся вокруг
оси, лежащей в плоскости торца измеряемого волокна.
3.2.3.6.
Регистрирующее устройство в установке, схема которого указана на черт. 6, должно обеспечивать
регистрацию сигналов, поступающих с приемника излучения во всем диапазоне
сигналов. Характеристика регистрирующего устройства должна быть линейной или
известной. В качестве регистрирующего устройства может быть использован,
например, графопостроитель.
При использовании
передающей телевизионной камеры в качестве приемника излучения на установке, схема
которой указана на черт. 7,
применяют регистрирующую телевизионную систему - видеомонитор с блоком
управления. Блок управления должен обеспечивать выделение строки на
видеомониторе, проходящей через ось волокна, для отражения распределения
интенсивности излучения в дальней зоне на выходе волокна измеряемого
оптического кабеля.
Видеомонитор должен
иметь линейную чувствительность и преобразовательную характеристику. Масштаб
изображения на экране видеомонитора должен быть определен с помощью тестобъекта.
3.2.4. Подготовка к
измерениям
3.2.4.1. Перед
измерениями оптический кабель выдерживают в нормальных климатических условиях
по ГОСТ 20.57.408-81 не менее 3 ч.
3.2.4.2. Подготовку
образцов к измерениям проводят в соответствии с требованиями, указанными в методе
измерения распределения потерь по длине.
3.2.4.3. На
расстоянии (0,5 +/- 0,1) м от выходного торца волокна измеряемого кабеля
устанавливают фильтр мод оболочки (при необходимости).
3.2.4.4.
Устанавливают волокно измеряемого оптического кабеля входным торцом в
устройство ввода, выходным - в устройство крепления. Юстируют входной торец по
максимуму сигнала на входе приемника излучения. Юстируют выходной торец так,
чтобы ось волокна была направлена на центр приемника излучения. Фиксируют оба
конца измеряемого волокна.
3.2.4.5.
Регулировкой интенсивности источника излучения устанавливают уровень
освещенности, соответствующий диапазону линейности отклика регистрирующего
устройства.
3.2.5. Проведение
измерений
3.2.5.1. Условия
проведения измерений должны соответствовать указанным
в методе обрыва.
3.2.5.2.
Относительная погрешность результата измерений не должна превышать 5%, если в
стандартах или технических условиях не указана другая погрешность измерений.
3.2.5.3. С помощью
устройства 7 регистрируют угловое распределение интенсивности излучения в одной
плоскости, проходящей через ось волокна, если в стандартах или технических
условиях на конкретный кабель не оговорены другие плоскости, проходящие через
ось.
3.2.6. Обработка
результатов
3.2.6.1. Обработку
результатов измерений проводят в соответствии с ГОСТ 8.207-76 и ГОСТ 8.011-72.
3.2.6.2. Числовую
апертуру оптического волокна измеряемого кабеля определяют по формуле
,
где
- числовая апертура;
-
половина плоского угла при вершине выходного излучения, в направлении которого
интенсивность излучения составляет заданный уровень (например, 0,1) от максимального, если в стандартах или технических условиях
на конкретный кабель не указано другое значение.
3.2.6.3. Результаты
измерений должны быть оформлены протоколом, в котором указывают:
результат измерения
числовой апертуры;
длину волны и
спектральную ширину источника излучения;
уровень, по
которому измерялась числовая апертура;
марку и длину
оптического кабеля;
тип, заводские
номера и дату поверки (аттестации) использованного оборудования;
погрешность
результата измерений при выбранной доверительной вероятности.
3.3. Метод
измерения эффективной числовой апертуры
3.3.1. Метод
основан на измерении мощности излучения в дальней зоне в изменяющемся телесном
угле с вершиной, расположенной в плоскости выходного торца. Изменение значения
телесного угла осуществляется перемещением приемника излучения вдоль оси
измеряемого волокна или путем изменения диаметра раскрыва
диафрагмы, расположенной перед приемником излучения.
3.3.2. Отбор
образцов
3.3.2.1. Отбор
образцов проводят в соответствии с требованиями, указанными в методе измерения
затухания.
3.3.3. Аппаратура
3.3.3.1. Измерение
эффективной числовой апертуры проводят на установке, схема которой указана на черт. 8, если применяют
перемещение приемника излучения, или на установке, схема которой указана на
черт. 9, если применяют приемник излучения с регулируемой диафрагмой.

1 - источник
излучения; 2 - устройство ввода;
3 - измеряемый
кабель; 4 - фильтр мод оболочки;
5 - устройство
крепления; 6 - приемник излучения;
7 - устройство
перемещения приемника;
8 - регистрирующее
устройство
Черт. 8

1 - источник
излучения; 2 - устройство ввода;
3 - измеряемый
кабель; 4 - фильтр мод оболочки;
5 - устройство
крепления; 6 - конденсор;
7 - регулируемая
диафрагма; 8 - приемник излучения;
9 - регистрирующее
устройство
Черт. 9
3.3.3.2. Требования
к источнику излучения, устройству ввода, фильтру мод оболочки и устройству
крепления должны соответствовать указанным в методе
измерения числовой апертуры.
Фильтр мод оболочки
используют на выходе волокна измеряемого кабеля, если это указано в стандартах
или технических условиях на конкретный оптический кабель.
3.3.3.3. Приемник
излучения должен иметь фоточувствительную площадку в форме круга. Диаметр круга
должен быть известен и быть много больше диаметра измеряемого волокна
оптического кабеля.
3.3.3.4.
Регулируемая диафрагма с линзовым конденсором должна быть расположена на оси
измеряемого волокна и не должна виньетировать
выходной луч при максимальном раскрыве
диафрагмы. Регулируемая диафрагма должна быть снабжена шкалой, по которой можно
определить диаметр раскрыва.
3.3.3.5. Устройство
перемещения должно осуществлять перемещение приемника излучения вдоль оси
волокна по отношению к его торцу в пределах, зависящих от размеров
чувствительной площадки и предполагаемой эффективной числовой апертуры волокна
(например, в пределах от 0,5d до 5d, где d - диаметр чувствительной площадки
приемника излучения). Устройство перемещения должно быть снабжено шкалой
отсчета расстояния от торца волокна до чувствительной площадки.
3.3.3.6.
Регистрирующее устройство должно обеспечивать регистрацию во всем диапазоне
сигналов, поступающих с приемника излучения. Характеристика регистрирующего
устройства должна быть линейной или известной.
3.3.4. Подготовка к
измерению
3.3.4.1. Подготовку
к измерениям проводят в соответствии с требованиями, указанными в методе
измерения числовой апертуры.
3.3.5. Проведение
измерений
3.3.5.1. Условия
проведения измерений должны соответствовать указанным
в методе измерения затухания.
3.3.5.2.
Относительная погрешность результата измерений не должна превышать 5%, если в
стандартах или технических условиях на конкретный кабель не указана другая
погрешность.
3.3.5.3. Измерения
проводят на установках, схемы которых указаны на черт.
8 и 9. Регулировкой диаметра раскрыва диафрагмы или
перемещением приемника излучения устанавливают положение, при котором все
излучение с выходного торца попадает на приемник излучения. Регулировкой
интенсивностью источника излучения устанавливают уровень интенсивности,
соответствующий диапазону линейности отклика регистрирующего устройства.
Уменьшают диаметр раскрыва диафрагмы (или отодвигают
приемник излучения от выходного торца волокна) и снимают зависимость
интенсивности излучения от значения телесного угла.
3.3.6. Обработка
результатов
3.3.6.1. Обработку
результатов измерений проводят в соответствии с ГОСТ 8.207-76 и ГОСТ 8.011-72.
3.3.6.2.
Эффективную числовую апертуру оптического волокна измеряемого кабеля определяют
по формуле
,
где
- эффективная числовая апертура;
-
половина угла при вершине конуса, в котором сосредоточена заданная часть
(например, 0,9) полной мощности оптического излучения, выходящей из выходного
торца волокна. В стандартах или технических условиях на конкретный оптический
кабель может быть установлен другой уровень, по которому определяют эффективную
числовую апертуру.
3.3.6.3. Результаты
измерений должны быть оформлены протоколом, в котором указывают:
результат измерения
эффективной числовой апертуры;
длину волны
источника излучения;
уровень, по
которому измерялась эффективная числовая апертура;
марку и длину
оптического кабеля;
тип, заводские
номера и дату поверки (аттестации) использованного оборудования;
погрешность
результата измерений при выбранной доверительной вероятности.
4.
ИЗМЕРЕНИЕ ПЕРЕДАТОЧНЫХ ХАРАКТЕРИСТИК
4.1. Измерение
передаточных характеристик оптических кабелей проводят двумя методами -
импульсным и частотным.
4.2. Импульсный
метод
4.2.1. Метод
основан на последовательной регистрации импульсов оптического излучения на
выходе волокна измеряемого кабеля и на выходе его короткого отрезка,
образованного за счет обрыва в начале волокна.
4.2.2. Отбор
образцов
4.2.2.1. Отбор
образцов проводят в соответствии с требованиями, указанными в методе измерения
затухания.
4.2.3. Аппаратура
4.2.3.1. Измерение
передаточных характеристик импульсным методом проводят на установке, схема
которой указана на черт. 10.

1 - источник
излучения; 2 - блок управления;
3 - устройство
ввода; 4 - смеситель мод;
5 - фильтр мод
оболочки; 6 - измеряемый кабель;
7 - приемник
излучения; 8 - регистрирующее устройство
Черт. 10
4.2.3.2. В качестве
источника излучения применяют оптические источники типа полупроводникового
лазера, светодиода и т.п., позволяющие получить импульсное оптическое излучение
с длительностью импульса, обеспечивающей измерение передаточных характеристик конкретного
оптического кабеля. Длина волны и спектральная ширина источника излучения
должна соответствовать требованиям, установленным в стандартах или технических
условиях на оптический кабель.
4.2.3.3. Блок
управления должен обеспечивать генерацию электрических импульсов требуемой
длительности и мощностью, согласованной с источником излучения, а также
вырабатывать импульсы синхронизации с регулируемой задержкой.
4.2.3.4. Требования
к устройству ввода, фильтру мод оболочки, смесителю мод должны соответствовать указанным в методе измерения затухания.
4.2.3.5. Приемник
излучения должен обеспечивать регистрацию всего конуса излучения, выходящего из
оптического волокна и иметь полосу пропускания, обеспечивающую требуемое
временное разрешение импульса источника излучения. Преобразовательная
характеристика приемника должна быть линейной.
4.2.3.6.
Регистрирующее устройство должно обеспечивать регистрацию сигналов с приемника
излучения в соответствующем диапазоне длительностей.
4.2.4. Подготовка к
измерениям
4.2.4.1. Подготовку
к измерениям проводят в соответствии с требованиями, указанными в методе
измерения затухания.
4.2.5. Проведение
измерений
4.2.5.1. Измерения
проводят в нормальных климатических условиях по ГОСТ 20.57.408-81. В
помещениях, предназначенных для измерений, не должно быть источников магнитных,
электрических полей и интенсивного оптического или инфракрасного излучений,
оказывающих воздействия на средства измерений.
4.2.5.2.
Относительная погрешность результата измерений не должна превышать 15%, если в стандартах
или технических условиях на конкретный оптический кабель не указана другая
погрешность измерений.
4.2.5.3. Измерения
проводят на установке, схема которой указана на черт.
10.
С помощью
устройства ввода проводят юстировку входного торца измеряемого волокна по
максимуму сигнала на выходе приемника излучения. Регистрируют форму импульса на
выходе волокна измеряемого кабеля.
4.2.5.4. Не изменяя
положения волокна в устройстве ввода, обламывают отрезок волокна длиной (1 +/-
0,2) м после фильтра мод оболочки. Выходной торец короткого отрезка волокна
подготавливают в соответствии с требованиями, указанными в п. 1.2.2.2.
4.2.5.5.
Подготовленный выходной торец волокна устанавливают относительно приемной
площадки так, чтобы на нее попадало все излучение с выходного торца. Вновь
регистрируют форму импульса на выходе короткого отрезка волокна.
Зарегистрированную форму импульса принимают за форму импульса на входе волокна
измеряемого кабеля.
4.2.6. Обработка
результатов
4.2.6.1. Обработка
результатов измерения проводится в соответствии с ГОСТ 8.207-76 и ГОСТ
8.011-72.
4.2.6.2.
Передаточную характеристику в частотном представлении
определяют по формуле
,
где
и
- спектральная плотность мощности импульса на
входе и выходе волокна измеряемого кабеля.
Модуль комплексной
функции
есть амплитудно-частотная модуляционная
характеристика измеряемого кабеля.
При этом значение
спектральной плотности мощности входного (выходного) импульсов определяют по
формуле
,
где
- зарегистрированный импульс на входе (выходе)
волокна измеряемого кабеля.
Значение ширины
полосы пропускания оптического кабеля принимают равной частоте, на которой
амплитуда сигнала амплитудно-частотной модуляционной характеристики изменилась
(уменьшилась) на 3 дБ.
4.2.6.3.
Коэффициент широкополосности (K) оптического волокна
измеряемого кабеля определяют по формуле
,
где B - ширина
полосы пропускания измеряемого оптического кабеля, МГц;
L - длина
измеряемого кабеля, км;
m - эмпирический
параметр, установленный в стандартах или технических условиях на конкретный
оптический кабель.
4.2.6.4. В случае
наличия на входе и выходе измеряемого кабеля импульсов, имеющих форму кривой
Гаусса, полосу пропускания определяют на основании имеющей место дисперсии по
формуле
,
где B - полоса
пропускания, МГц;
-
дисперсия импульса, нс;
,
- длительность выходного и входного импульса
по уровню 0,5, нс.
4.2.6.5. При
необходимости проводят расчет импульсного отклика по формуле
.
4.2.6.6. Результаты
измерений должны быть оформлены протоколом, в котором указывают:
значения ширины
полосы и коэффициента широкополосности волокна
измеряемого кабеля;
длину волны и
спектральную ширину источника излучения;
марку и длину
оптического кабеля;
тип, заводские
номера и дату поверки (аттестации) использованного оборудования;
погрешность
результата измерений при выбранной доверительной вероятности.
4.3. Частотный
метод
4.3.1. Метод
основан на сравнении зависимостей изменения сигнала на выходе волокна
измеряемого кабеля и на выходе короткого его отрезка от частоты модуляции
оптического сигнала.
4.3.2. Отбор
образцов
4.3.2.1. Отбор
образцов проводят в соответствии с требованиями, указанными в методе измерения
затухания.
4.3.3. Аппаратура
4.3.3.1. Измерение
передаточных характеристик частотным методом проводят на установке, схема
которой указана на черт. 11.

1 - источник
излучения; 2 - задающий генератор;
3 - устройство
ввода; 4 - смеситель мод;
5 - фильтр мод
оболочки; 6 - измеряемый кабель;
7 - приемник
излучения; 8 - регистрирующая система
Черт. 11
4.3.3.2. В качестве
источников излучения применяют оптические источники (светодиоды,
полупроводниковые или другие лазеры), обеспечивающие модуляцию оптического
излучения в полосе частот, превышающей ширину полосы пропускания измеряемого
оптического кабеля. Длина волны и спектральная ширина источника излучения
должны соответствовать требованиям, установленным в стандартах или технических
условиях на измеряемый оптический кабель.
4.3.3.3. Задающий
генератор должен иметь полосу частот перестройки, превышающую ширину полосы
пропускания измеряемого оптического кабеля.
4.3.3.4. Требования
к устройству ввода, фильтру мод оболочки, смесителю мод должны соответствовать указанным в методе измерения затухания.
4.3.3.5. Приемник
излучения должен обеспечивать регистрацию всего конуса, выходящего из
оптического волокна излучения, и иметь полосу пропускания, превышающую полосу
пропускания измеряемого кабеля. Преобразовательная характеристика приемника
должна быть линейной.
4.3.3.6.
Регистрирующее устройство должно обеспечивать регистрацию сигналов с приемника
излучения в соответствующем диапазоне частот модуляции источника излучения.
4.3.4. Подготовка к
измерениям
4.3.4.1. Подготовку
к измерениям проводят в соответствии с требованиями, указанными в методе
измерения затухания.
4.3.5. Проведение
измерений
4.3.5.1. Измерения
проводят в нормальных климатических условиях по ГОСТ 20.57.408-81. В помещениях, предназначенных для измерений, не должно быть
источников магнитных, электрических полей и интенсивного оптического или
инфракрасного излучений, оказывающих воздействие на средства измерений.
4.3.5.2.
Относительная погрешность результата измерений не должна превышать 15%, если в
стандартах или технических условиях на конкретный оптический кабель не указана
другая погрешность измерений.
4.3.5.3. Измерения
проводят на установке, схема которой указана на черт.
11.
С помощью
устройства ввода проводят юстировку входного торца измеряемого волокна по
максимуму сигнала на выходе приемника излучения.
4.3.5.4. С помощью
задающего генератора устанавливают частоту модуляции оптического сигнала.
Изменяя частоту модуляции, регистрируют зависимость переменной составляющей
сигнала от частоты модуляции.
4.3.5.5. Не изменяя
положения волокна в устройстве ввода, обламывают волокно после фильтра мод
оболочки, оставляя отрезок волокна длиной (1 +/- 0,2) м. Выходной торец
короткого отрезка волокна подготавливают в соответствии с требованиями,
указанными в п. 1.2.2.2.
4.3.5.6.
Подготовленный выходной торец волокна устанавливают относительно приемной
площадки так, чтобы на нее попадало все излучение с выходного торца. Вновь
регистрируют зависимость переменной составляющей сигнала на выходе короткого
отрезка волокна от частоты модуляции.
4.3.6. Обработка
результатов
4.3.6.1. Обработку
результатов измерений проводят в соответствии с ГОСТ 8.207-76, ГОСТ 8.011-72.
4.3.6.2. Строят
график отношения значений сигналов переменной составляющей на выходе короткого
отрезка и всего кабеля от частоты модуляции, то есть амплитудно-частотную
характеристику измеряемого оптического кабеля. Значение ширины полосы
пропускания оптического кабеля принимают равной частоте, на которой амплитуда
сигнала амплитудно-частотной характеристики уменьшилась на 3 дБ. Коэффициент широкополосности определяют по формуле, указанной в п.
4.2.6.3.
4.3.6.3. Результаты
измерений должны быть оформлены протоколом, в котором указывают:
зарегистрированные
амплитудно-частотные модуляционные характеристики;
расчетные значения
полосы пропускания и коэффициента широкополосности;
длину волны и
спектральную ширину источника излучения;
тип, заводские
номера и дату поверки (аттестации) использованного оборудования;
погрешность
результата измерений при выбранной доверительной вероятности.
5.
ИЗМЕРЕНИЕ ПЕРЕХОДНОГО ЗАТУХАНИЯ
5.1. Метод
измерения переходного затухания основан на сравнении относительного уровня
мощности оптического излучения на выходном (входном) конце волокна измеряемого
оптического кабеля, подверженного влиянию с уровнем мощности, введенной во
влияющее волокно. Метод определяет переходное затухание на ближнем и дальнем
конце кабеля.
5.2. Отбор образцов
5.2.1. Отбор
образцов проводят в соответствии с требованиями, указанными в методе измерения
затухания. При этом влияющее волокно и волокно, подверженное влиянию, должны
быть выбраны из рядом лежащих,
если в стандартах или технических условиях на конкретный оптический кабель не
указаны другие волокна.
5.3. Аппаратура
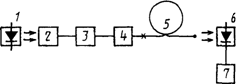
5.3.1. Измерение
переходного затухания в оптических кабелях проводят на установке, схема которой
указана на черт. 12.

1 - источник
излучения; 2 - устройство ввода;
3 - смеситель мод;
4 - фильтр мод оболочки;
5 - измеряемый
кабель; 6 - оптическое волокно,
подверженное
влиянию; 7 - влияющее волокно;
8 - приемник
излучения; 9 - регистрирующее устройство
Черт. 12
5.3.2. В качестве
источника излучения применяют оптические источники с мощностью, достаточной для
проведения измерения в заданном динамическом диапазоне. Длина волны источника
излучения должна быть указана в стандартах или технических условиях на
конкретный оптический кабель.
5.3.3. Требования к
устройству ввода, фильтру мод оболочки, смесителю мод и регистрирующему
устройству должны соответствовать указанным в методе
измерения затухания.
5.3.4. Приемник
излучения должен обеспечивать измерения в динамическом диапазоне, заданном в
стандартах или технических условиях на оптический кабель.
5.4. Подготовка к
измерениям
5.4.1. Подготовку к
измерениям проводят в соответствии с требованиями, указанными в п. 1.2.4 метода
измерения затухания. При этом первоначальную настройку ведут на одном из двух
близлежащих волокон, выбранном в качестве влияющего.
5.5. Проведение
измерений
5.5.1. Условия
проведения измерений соответствуют указанным в методах
измерения затухания.
5.5.2.
Относительная погрешность результата измерений не должна превышать 20%, если в
стандартах или технических условиях на конкретный оптический кабель не указана
другая погрешность измерения.
5.5.3. Измерения
проводят на установке, схема которой указана на черт.
12. Соединяют входной конец влияющего волокна с источником излучения, а
выходной конец - с приемником излучения. С помощью устройства ввода проводят
юстировку входного торца влияющего волокна по максимуму сигнала на выходе
приемника излучения. Регистрируют значение уровня мощности
на выходе влияющего волокна измеряемого кабеля.
Выходной конец
влияющего волокна отсоединяют от приемника излучения и соединяют с ним входной
(выходной) конец волокна, подверженного влиянию. Регистрируют показания,
соответствующие уровню мощности на входе (выходе) волокна, подверженного
влиянию.
Не изменяя положения влияющего волокна в устройстве ввода обрывают
влияющее волокно на расстоянии (1 +/- 0,2) м от входного торца. Выходной
торец короткого отрезка волокна подготавливают в соответствии с требованиями,
указанными в п. 1.2.2.2.
Выходной конец
короткого отрезка волокна устанавливают относительно площадки приемника
излучения так, чтобы на него попало все излучение с выходного торца.
Регистрируют показания, соответствующие уровню мощности, введенной во влияющее
волокно.
5.6. Обработка
результатов
5.6.1. Обработку
результатов измерений проводят в соответствии с ГОСТ 8.207-76 и ГОСТ 8.011-72.
5.6.2. Переходное
затухание на ближнем и дальнем концах оптического кабеля определяют по
формулам:
;
,
где
,
- переходное затухание на ближнем и дальнем концах, дБ;
-
значение уровня мощности на входе во влияющее волокно;
-
значение уровня мощности на входе в волокно, подверженное влиянию;
-
значение уровня мощности на выходе волокна, подверженного влиянию.
5.6.3. В случае
отсутствия возможности регистрации взаимного влияния определяют реальный
динамический диапазон
,
реализуемый при измерениях, по формуле
,
где
- минимальное значение оптической мощности,
измеряемой по схеме измерений, указанной на черт. 12.
5.6.4. Результаты
измерений должны быть оформлены протоколом, в котором указывают:
результат измерения
переходного затухания;
длину волны
источника излучения;
марку и длину
оптического кабеля;
тип, заводские
номера и дату поверки (аттестации) использованного оборудования;
погрешность
результата измерений при выбранной доверительной вероятности.
6.
ИЗМЕРЕНИЕ ПРИРАЩЕНИЯ ЗАТУХАНИЯ
ПРИ ВОЗДЕЙСТВИИ
ВНЕШНИХ ФАКТОРОВ
6.1. Метод
заключается в определении изменения мощности оптического излучения
на выходе оптического волокна измеряемого кабеля при воздействии внешних
факторов.
Метод предназначен
для измерения приращения затухания при механических воздействиях типа растяжения,
изгиба и др., климатических воздействиях типа пониженной и повышенной
температуры, влажности и др.
6.2. Отбор образцов
6.2.1. Отбор
образцов проводят в соответствии с требованиями, указанными в методе измерения
затухания.
6.3. Аппаратура
6.3.1. Измерения
приращения затухания при воздействии внешних факторов проводят на установке,
схема которой указана на черт. 13.

1 - источник
излучения; 2 - устройство ввода;
3 - смеситель мод;
4 - измеряемый кабель; 5 - камера
внешних
воздействий; 6 - фильтр мод оболочки;
7 - приемник
излучения; 8 - регистрирующее устройство
Черт. 13
6.3.2. Требования к
источнику и приемнику излучения, устройству ввода, смесителю мод, фильтру мод
оболочки и регистрирующему устройству должны соответствовать указанным
в методе измерения затухания.
Источник и приемник
излучения должны иметь повышенную долговременную стабильность, обеспечивающую
измерения с необходимой точностью.
Фильтр мод оболочки
может быть установлен, если это указано в стандартах или технических условиях
на конкретный оптический кабель.
6.4. Подготовка к
измерениям
6.4.1. Перед
измерениями оптический кабель выдерживают в нормальных климатических условиях
по ГОСТ 20.57.408-81 не менее 3 ч.
6.4.2. Образец
измеряемого кабеля помещают в камеру внешних воздействий и выводят из установки
оба конца измеряемого кабеля на длину, необходимую для подключения к источнику
и приемнику излучения.
6.4.3. Подготовку
образцов к измерениям проводят в следующей последовательности:
оба конца
измеряемого кабеля освобождают от защитных покрытий на расстоянии не менее 0,5
м;
оба конца
оптических волокон освобождают от первичной и вторичной оболочек на длине 10 -
50 мм;
торцевые
поверхности волокон обрабатывают так, чтобы они соответствовали требованиям,
указанным в п. 1.2.2.2.;
на расстоянии (0,5
+/- 0,1) м от входного конца оптического волокна измеряемого кабеля
устанавливают смеситель мод, а от выходного торца - фильтр мод оболочки;
входной конец
волокна устанавливают в устройство ввода, а выходной конец - вблизи
чувствительной площадки приемника излучения, при этом все излучение с выходного
торца должно попадать на приемную площадку;
проводят юстировку
входного торца по максимуму сигнала на выходе приемника излучения.
6.5. Проведение
измерений
6.5.1. Условия проведения измерений должны соответствовать установленным в
стандартах или технических условиях на конкретный оптический кабель.
6.5.2.
Относительная погрешность результата измерений не должна превышать 10%, если в
стандартах или технических условиях на конкретный оптический кабель не указана
другая погрешность измерений.
6.5.3. Измерения
проводят на установке, схема которой указана на черт.
13, в следующей последовательности:
регистрируют
показания, соответствующие значению мощности оптического излучения на выходе
волокна измеряемого оптического кабеля, до включения внешнего воздействующего
фактора;
включают внешний
воздействующий фактор, устанавливают его номинальное значение в соответствии с
требованиями стандартов или технических условий на конкретный кабель;
регистрируют
показания, соответствующие значению мощности оптического излучения на выходе
волокна измеряемого кабеля после действия внешнего фактора;
выдерживают
оптический кабель под воздействием внешнего фактора в течение времени,
установленного в стандартах или технических условиях на конкретный кабель;
определяют изменение мощности оптического излучения в зависимости от времени
действия внешнего фактора (при необходимости);
выключают
воздействие внешнего фактора и определяют значение мощности оптического
излучения на выходе волокна измеряемого оптического кабеля после окончания его
воздействия, а также через время, указанное в стандартах или технических
условиях на конкретный кабель.
6.6. Обработка результатов
6.6.1. Обработку
результатов измерений проводят в соответствии с ГОСТ 8.207-76, ГОСТ 8.011-72.
6.6.2. Приращение
затухания при воздействии внешних факторов определяют по формулам:
;
;
,
где
- приращение затухания непосредственно после
воздействия внешних факторов;
-
приращение затухания, вызванное остаточными изменениями в кабеле вследствие
воздействия внешних факторов;
-
приращение затухания в процессе воздействия внешних факторов;
-
значение мощности на выходе оптического кабеля до воздействия внешнего фактора;
-
значение мощности на выходе оптического кабеля непосредственно после
воздействия внешнего фактора;
-
значение мощности на выходе оптического кабеля в процессе воздействия внешнего
фактора;
-
значение мощности оптического кабеля после окончания остаточных процессов в
кабеле, вызванных воздействием внешних факторов;
l - длина
оптического кабеля, км;
t - время
воздействия внешнего фактора, с.
6.6.3. Результаты
измерений должны быть оформлены протоколом, в котором указывают:
зарегистрированные
значения приращения затухания;
значение и время
воздействия внешних факторов;
длину волны
источника излучения;
марку и длину
оптического кабеля;
тип, заводские
номера и дату поверки (аттестации) использованного оборудования;
погрешность
результата измерений выбранной доверительной вероятности.
7. ИЗМЕРЕНИЕ
ИНТЕНСИВНОСТИ ИЗЛУЧЕНИЯ В БЛИЖНЕЙ ЗОНЕ
7.1. Метод основан
на измерении распределения интенсивности излучения по торцу волокна. Метод
позволяет определить распределение интенсивности (энергии) оптического
излучения по сечению волокна измеряемого кабеля с учетом взаимодействия
распространяющихся мод.
7.2. Отбор образцов
7.2.1. Отбор
образцов проводят в соответствии с требованиями, указанными в методе измерения
затухания.
7.3. Аппаратура
7.3.1. Измерения
проводят на установке, схема которой указана на черт.
14.

1 - источник
излучения; 2 - устройство ввода;
3 - измеряемый
кабель; 4 - фильтр мод оболочки;
5 - устройство
крепления; 6 - регистрирующее устройство;
7 - микроскоп; 8 -
телевизионная камера;
9 - монитор; 10 -
блок управления
Черт. 14
7.3.2. В качестве
источника излучения применяют некогерентный источник излучения - лампу
накаливания или светодиод с фокусирующим микрообъективом и диафрагмой, обеспечивающий регулировку
выходной апертуры 0,05 - 0,4, если в стандартах или технических условиях на
оптический кабель не указаны другие пределы регулировки.
7.3.3. Требования к
устройству ввода, фильтру мод оболочки должны соответствовать указанным в методе измерения затухания.
Фильтр мод оболочки
используют на выходе волокна измеряемого кабеля, если этого требуют стандарты
или технические условия на конкретный кабель.
7.3.4. Устройство
крепления должно осуществлять фиксацию выходного торца волокна и его юстировку
в трех взаимно перпендикулярных плоскостях.
7.3.5. В качестве
регистрирующего устройства применяют телевизионный микроскоп, содержащий
телевизионную камеру, монитор и блок управления и обеспечивающий получение
изображения торца волокна с требуемым увеличением. Блок управления должен
обеспечивать выделение строки на видеомониторе и создавать линейный растр по
сечению торца волокна, отражающий распределение интенсивности излучения в
ближней зоне.
Регистрирующее
устройство должно иметь линейную преобразовательную характеристику. Масштаб
изображения на экране монитора должен быть определен с помощью тестобъекта.
7.4. Подготовка к
измерениям
7.4.1. Подготовку к
измерениям проводят в соответствии с требованиями, указанными в методе
измерения эффективной числовой апертуры.
7.5. Проведение
измерений
7.5.1. Условия
проведения измерений должны соответствовать указанным
в методике измерения числовой апертуры.
7.5.2.
Относительная погрешность результата измерений не должна превышать 5%, если в
стандартах или технических условиях на конкретный кабель не указана другая
погрешность измерений.
7.5.3. Измерения
проводят в следующей последовательности на установке, схема которой указана на черт. 14:
проводят юстировку
входного торца волокна с помощью устройства ввода, устанавливая максимальную
интенсивность сигнала на выходе волокна измеряемого оптического кабеля,
закрепляют входной конец;
проводят юстировку
выходного торца так, чтобы он находился в центре поля изображения микроскопа и
телевизионного монитора;
регулировкой
интенсивности источника излучения устанавливают уровень освещенности,
соответствующий диапазону линейности отклика регистрирующего устройства;
регистрируют
распределение интенсивности излучения по торцу волокна (в ближней зоне) вдоль
выбранного направления, проходящего через центр сердцевины волокна.
7.6. Обработка
результатов
7.6.1. Обработку
результатов измерений проводят в соответствии с ГОСТ 8.207-76 и ГОСТ 8.011-72.
7.6.2. Строят
график зависимости интенсивности излучения в ближней зоне от номинального
радиуса сердцевины. При необходимости аппроксимируют полученную зависимость в
соответствии с формулой
,
где
- нормированная зависимость интенсивности
излучения в ближней зоне;
r - текущее
значение радиуса сердцевины волокна, мкм;
-
радиус сердцевины волокна, определенный по уровню 0,1 от максимального значения
интенсивности, мкм;
q - параметр аппроксимации.
7.6.3. Результаты
измерений должны быть оформлены протоколом, в котором указывают:
зависимость
интенсивности излучения в ближней зоне;
параметр
аппроксимации (при необходимости);
марку и длину
оптического кабеля;
тип, заводские
номера и дату поверки (аттестации) использованного оборудования;
погрешность
результата измерений при выбранной доверительной вероятности.
8.
ТРЕБОВАНИЯ БЕЗОПАСНОСТИ
8.1. Измерение
параметров оптических кабелей должно проводиться персоналом, подготовленным в
соответствии с "Правилами технической эксплуатации электроустановок
потребителей" и "Правилами техники безопасности при эксплуатации
электроустановок потребителей", утвержденными Госэнергонадзором.
8.2. Требования к
организации и проведению измерений, помещениям для измерений, средствам
измерений, рабочим местам и средствам защиты персонала и их применению - по
ГОСТ 12.3.019-80.
8.3. Требования к
обеспечению электробезопасности при помощи защитного заземления и зануления - по ГОСТ 12.1.030-81.
8.4. Требования
безопасности при работе с лазерными источниками излучения должны
соответствовать "Санитарным правилам при работе с лазерами",
утвержденными Минздравом СССР.